
线路:本文采算科技将系统呈文d带中心的界说、其当作关节描写符的原因,以及该表面奈何请示实验的催化剂遐想。
什么是d带中心
界说与物理有趣
d带中心是催化和名义科学领域,尤其是商榷过渡金属催化剂时,一个至关弊端的电子结构参数。
从物理上看,d带中心描写的是过渡金属名义原子d轨说念电子态的平均能量,其位置时时是相关于费米能级来界说的。
费米能级是电子填充的最高能级,因此d带中心的位置顺利反馈了金属价电子的能量景象和参与化学键合的“意愿”。
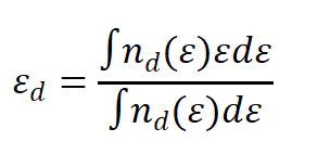
d带中心不错通过第一性旨趣计算(如密度泛函表面,DFT)赢得,其数学抒发式为:

其中,nd(ε)是投影到金属原子d轨说念上的电子态密度,ε是能量。
d带中心越高电子越容易填充成键轨说念,吸附越强。d带中心越低电子越容易填充反键轨说念,吸附越弱。

DOI:10.1021/acsami.3c00453
d带中心的决定要素
金属的d带中心位置受多种要素影响,这为咱们调控其催化性能提供了门道。主要影响要素包括:
元素种类:在元素周期表中,从左到右,跟着d轨说念填凑数的增多,d带中心时时会系统性地裁减。
应力/应变:当对金属名义施加拉伸应力时,原子间距增大,d轨说念交叠减小,导致d能带变窄,d带中心相关于费米能级上移;施加压缩应力则后果相背。
配位环境:名义原子的配位数越低(如台阶、边角、劣势处的原子),其d带中心时时越高,反应活性也越强。
合金化/掺杂:将两种或多种金属酿成合金,或在金属中掺杂其他元素,不错通过电子转动和应变效应权贵更动d带中心的位置。
d带中心为何是关节描写符
d带中心之是以被公觉得催化领域,极端是多相催化和电催化中的关节描写符,是因为它潜入地揭示了催化剂与反应物分子之间相互作用的本色,并与最终的催化活性和选拔性高度关联。
联结电子结构与吸附能
催化反适时时罢免“吸附-名义反应-脱附”的旅途。其中,反应物/中间体在催化剂名义的吸附强度是决定反应能否获胜进行的关节。
d带中样式论的中枢在于,它奏效地将催化剂的电子结构(d带中心)与化学吸附能关联起来。
当一个分子(如CO, O, H等)吸附到金属名义时,其分子轨说念会与金属的d轨说念发生杂化,酿成成键轨说念和反键轨说念。
d带中心的位置决定了杂化后反键轨说念的能量。当d带中心能量升高时,反键轨说念的能量也随之升高,若其被推到费米能级之上,则该轨说念上的电子填充就会减少,从而导致吸附物种与金属名义之间的净成键作用增强,即吸附能增大。
反之,d带中机杼减则导致吸附缩小。这种线性或近线性的关联性,米兰体育app官网使得d带中心成为瞻望吸附强度的有劲器具。

DOI: 10.1039/d1ta02718b
讲授催化活性的“火山型”干系
凭证萨巴蒂尔旨趣(Sabatier Principle),一个理思的催化剂对反应中间体的吸附既不成太强,也不成太弱。吸附太弱,反应物难以被灵验活化;吸附太强,家具又难以脱附,会“毒化”催化剂名义活性位点。因此,催化活性与吸附能之间往往呈现一种“火山型”干系。
由于d带中心与吸附能密切关联,催化活性当然也与d带中心呈现出肖似的火山型依赖干系。这意味着存在一个最优的d带中心位置,大概使催化剂的活性达到峰值。这一发现有趣首要,因为它将复杂的催化活性优化问题,简化为寻找并调控一个单一、可计算的电子结构参数——d带中心。
d带中样式论请示催化剂遐想
d带中样式论不仅为连气儿催化风光提供了潜入洞见,更弊端的是,它为基于表面计算的感性催化剂遐想开荒了说念路。
其核神思策是:最初通过表面计算细目宗旨反应火山弧线的峰顶所对应的最优d带中心值,然后通过多样材料工程工夫,合成出具有该最优电子结构的催化剂。
合金化遐想:这是最常用且灵验的计策。举例,在ORR催化剂遐想中,纯Pt的d带中心略略偏离火山岭顶的强相干端。
通过将Pt与Ni、Co等3d过渡金属合金化,不错哄骗3d金属的电子效应和应变效应,将Pt的d带中心向更稚子量移动,使其更接近火山岭顶,从而赢得比纯Pt更高的催化活性。
应变工程:通过构建核壳结构或将催化剂负载在特定晶格参数的基底上,不错引入拉伸或压缩应变。
举例,在Pd基催化剂上外延滋长一层Pt,由于晶格失配,Pt层会受到拉伸应变,使其d带中心上移,从而增强了对某些反应物的吸维持活化智力。
劣势与界面工程:在催化剂名义引入原子空位或劣势,不错更动周围原子的配位环境和电子诀别,从而局部调控d带中心。
遐想异质结构界面,哄骗界面处的电荷再行诀别,也能灵验退换材料的d带中心位置,进而优化催化性能。
单原子催化剂:在单原子催化剂中,中心金属原子的d带中心受到载体和配位原子的激烈影响。
通过选拔不同的载体(如石墨烯、氮化碳、金属氧化物等)和调控配位原子(如N、O、S),不错精准地退换中心原子的d带中心,以相宜不同催化反应的需求,如CO₂规复、析氢反应(HER)等。

DOI: 10.1002/anie.201811728
论断
d带中样式论是联结微不雅电子结构与宏不雅催化性能的基石。它将复杂的催化剂-吸附物相互作用简化为一个可计算、可调控的物理量——d带的平均能量。
通过将d带中心与吸附能和催化活性的火山型干系相相干,该表面为咱们从“试错”走向“感性遐想”提供了显明的阶梯图。
通过合金化、应变工程、劣势调控等工夫精准退换材料的d带中心米兰体育app官网,已成为面前催化科学领域建筑下一代高性能催化剂最弊端和最前沿的商榷范式之一。
杏彩(XingCai)官网平台
